Dear TomDoan,
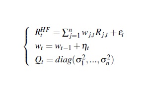
I'am trying to estimate a Dynamic CAPM (dynamic beta) with the Gibbs Sampler.
My code, so far, is just a variation around "Lutkepohl, New Introduction, example 18.5 from pp 637-639". I was wondering if you can take a quick look at it, and maybe run it as well, to tell me what you think. Since i 'am still new to Bayesian Methods i might misunderstood something. This is the best estimation i can get by "playing" with the initial values. Indeed i really don't want something too much volatile.
I think a good way to improve the model would be to have a full variance-covariance matrix of the shocks, so i assume i need something like:
dec frml[sym] sigmab
frml sigmab = 0.5*(%XXSYS)
and remove the %diag in the dlm function. However variances would follow inv.Wishart and i don't know how to change that in the code.
I've attached my code and the data.
Thank you very much
Manty
Dynamic CAPM with the Gibbs Sampler
Re: Dynamic CAPM with the Gibbs Sampler
That doesn't seem unreasonable.
compute sumsq0=.000005
compute df0 =8
translates into a variance of .000005/8. Over the course of a year (260 observations), that would be a standard deviation for a random walk of sqrt(sumsq0/df0*260)=.01275. For most of your coefficients, that doesn't sound unreasonable. And remember that that's a small enough degrees of freedom that it's really only a "suggestion"---if you look, the coefficient on AA_BA, which is the only one whose coefficients completely out of scale to the others ends up with absolute movements quite a bit larger than that.
I wouldn't recommend trying to put a full covariance matrix on the joint movements. That's much more complicated and it's not clear that it really helps.
compute sumsq0=.000005
compute df0 =8
translates into a variance of .000005/8. Over the course of a year (260 observations), that would be a standard deviation for a random walk of sqrt(sumsq0/df0*260)=.01275. For most of your coefficients, that doesn't sound unreasonable. And remember that that's a small enough degrees of freedom that it's really only a "suggestion"---if you look, the coefficient on AA_BA, which is the only one whose coefficients completely out of scale to the others ends up with absolute movements quite a bit larger than that.
I wouldn't recommend trying to put a full covariance matrix on the joint movements. That's much more complicated and it's not clear that it really helps.