importance of exogenous regressor in VAR

Questions and discussions on Vector Autoregressions
pfb382
Posts: 22
Joined: Fri Apr 14, 2017 5:25 pm

importance of exogenous regressor in VAR

Unread post by pfb382 »

Hi,

I have set up a VECM for regional and local variables. I also included some exogenous global variables.
Now my question is how, can I compare the importance of local/regional vs global variables as the FEVD does not give my any input on the global variables.
Is there a formal way of using the R_sqr or partial R_sqr? Would be helpful for suggestions of how to approach this problem.

Thanks
TomDoan
Posts: 7822
Joined: Wed Nov 01, 2006 4:36 pm

Re: importance of exogenous regressor in VAR

Unread post by TomDoan »

A partial R^2 would just be another way to describe a causality test for the global variables in the local equations.
pfb382
Posts: 22
Joined: Fri Apr 14, 2017 5:25 pm

Re: importance of exogenous regressor in VAR

Unread post by pfb382 »

Hi Tom. Is there a certain way that RATS shows me the partial R^2 for my exogenous variables (TOTC and W)? Currently it only presents the t-stat and its significance!
Thanks.

my code:

Code: Select all

*
    *
    * Monte Carlo integration with shock to "exogenous" variable
    *
    compute lags=2            ;*Number of lags
    compute nstep=10         ;*Number of response steps
    compute ndraws=10000      ;*Number of keeper draws
    *
    open data "C:\Users\Sebastian\Desktop\Newfolder\FINAL1"
   calendar 1970 1 1
   all 2015:1
    data(format=xls,org=col) 1970:1 2015:1 lwEAC_B	lBuGDP	wEACI_B	BuIn	W	TOTC	OP	trend	DUM84	DUM93	DUM94	DUM15	DUM92	DUM08	DUM9397	DUM95	DUM9495	DUM8095	DUM8298	DUM7795

    *
equation(coeffs=||0,0,1,0||) ect1
#lwEAC_B lBuGDP wEACI_B BuIn
equation(coeffs=||0,0,0,1||) ect2
#lwEAC_B lBuGDP wEACI_B BuIn

    system(model=vecmodel)
    variables lwEAC_B lBuGDP wEACI_B BuIn
    lags 1 to lags
    ect ect1 ect2
    det constant trend DUM94 DUM15 DUM9397 TOTC{0 to 1} W{0 to 1}
    end(system)
    *
    * Define placeholder equation to allow shock to TOTC OP and W.
    *
    equation(empty) toteq TOTC
 equation(empty) worldeq W
    *
    ******************************************************************
    estimate
compute nshocks=1
compute nvar   =%nvar
compute fxx    =%decomp(%xx)
compute fwish  =%decomp(inv(%nobs*%sigma))
compute wishdof=%nobs-%nreg
compute betaols=%modelgetcoeffs(vecmodel)
*
declare vect[rect] %%responses(ndraws)
declare rect[series] impulses(nvar,nvar)

infobox(action=define,progress,lower=1,upper=ndraws) "Monte Carlo Integration"
do draw=1,ndraws
   *
   * On the odd values for <<draw>>, a draw is made from the inverse Wishart
   * distribution for the covariance matrix. This assumes use of the
   * Jeffrey's prior |S|^-(n+1)/2 where n is the number of equations in
   * the VAR. The posterior for S with that prior is inverse Wishart with
   * T-p d.f. (p = number of explanatory variables per equation) and
   * covariance matrix inv(T(S-hat)).
   *
   * Given the draw for S, a draw is made for the coefficients by adding
   * the mean from the least squares estimate to a draw from a
   * multivariate Normal with  (factor of) covariance matrix as the
   * Kroneker product of the factor of the draw for S and a factor of
   * the X'X^-1 from OLS.
   *
   * On even draws, the S is kept at the previous value, and the
   * coefficient draw is reflected through the mean.
   *
   if %clock(draw,2)==1 {
      compute sigmad  =%ranwisharti(fwish,wishdof)
      compute fsigma  =%decomp(sigmad)
      compute betau   =%ranmvkron(fsigma,fxx)
      compute betadraw=betaols+betau
   }
   else
      compute betadraw=betaols-betau
   *
   * Push the draw for the coefficient back into the model.
   *
   compute %modelsetcoeffs(vecmodel,betadraw)
   *
   * Shock the combination of the VAR + the placeholder equation with a
   * unit shock to the placeholder.
   *
   impulse(noprint,model=vecmodel+worldeq,shocks=%unitv(%nvar+1,%nvar+1),$
     result=impulses,steps=nstep)
   *
   * Save the impulse responses
   *
   dim %%responses(draw)(nvar*nshocks,nstep)
   ewise %%responses(draw)(i,j)=ix=%vec(%xt(impulses,j)),ix(i)
   infobox(current=draw)
end do draw
infobox(action=remove)
*
@mcgraphirf(model=vecmodel,percentile=||.16,.84||,shocklabels=||"To world"||,accumulate=||1,2,3,4||)
*
TomDoan
Posts: 7822
Joined: Wed Nov 01, 2006 4:36 pm

Re: importance of exogenous regressor in VAR

Unread post by TomDoan »

This is a systems estimator, so there isn't really a meaningful R^2 measure, partial or otherwise. Again, what's wrong with a likelihood ratio test done with and without the exogenous variables? Doesn't that tell you about the importance of the exogenous variables? There's a reason partial R^2's (which won't even apply here) are rarely mentioned in textbooks or papers---they don't really tell you much.
pfb382
Posts: 22
Joined: Fri Apr 14, 2017 5:25 pm

Re: importance of exogenous regressor in VAR

Unread post by pfb382 »

Thanks Tom, thats a great idea. I just run a simultaneous equation model and eliminate the exogenous variable of interest from the equation of the endogenous variable of interest, right?

But you dont have anything in mind that can be used to find out their relative importance?! - relative to the other endogenous variables..
thanks
TomDoan
Posts: 7822
Joined: Wed Nov 01, 2006 4:36 pm

Re: importance of exogenous regressor in VAR

Unread post by TomDoan »

It's not a simultaneous equations model. A VECM or VAR is very different from an SE model and this is a VECM as you've written it.

No. That really makes no sense. The lagged endogenous variables are part of a VECM---that's the whole point. You can look at what the exogenous variables add to the VECM which is what the likelihood ratio test would give you.
pfb382
Posts: 22
Joined: Fri Apr 14, 2017 5:25 pm

Re: importance of exogenous regressor in VAR

Unread post by pfb382 »

OK.. But cant I rewrite the the VECM as a SE by creating the cointegration vector and then just compose the VECM.. The thing is that the model consists of regional and domestic variables and i am primarily interested in the effect of the exo. variables only towards the domestic variables.. That why I thought of removing the exo. variable only from the equation of the domestic variable of interest. OR does it not make sense to pull the system that much apart?

And Off topic: The IRF already state the I(1) variable effect, no need to accumulate the shocks as I did it in the code above?
pfb382
Posts: 22
Joined: Fri Apr 14, 2017 5:25 pm

Re: importance of exogenous regressor in VAR

Unread post by pfb382 »

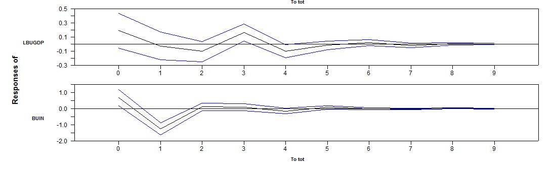
... and why are BuIn responses from W-shocks bound to 0 in the the first period (happens for any country model), but is not the case for TOT-shocks... It shouldnt be bound to 0 ideally, or is there a reason why it is like that?!
Attachments
W-shocks.JPG
W-shocks.JPG (47.33 KiB) Viewed 21088 times
tot-shocks.JPG
tot-shocks.JPG (47.4 KiB) Viewed 21088 times
TomDoan
Posts: 7822
Joined: Wed Nov 01, 2006 4:36 pm

Re: importance of exogenous regressor in VAR

Unread post by TomDoan »

Probably the W coefficient in the BUIN equation is close to zero.
pfb382
Posts: 22
Joined: Fri Apr 14, 2017 5:25 pm

Re: importance of exogenous regressor in VAR

Unread post by pfb382 »

not really..
Attachments
W.JPG
W.JPG (13.84 KiB) Viewed 21081 times
TomDoan
Posts: 7822
Joined: Wed Nov 01, 2006 4:36 pm

Re: importance of exogenous regressor in VAR

Unread post by TomDoan »

You're obviously doing a different program than what you posted above, since that has four endogenous variables. Please post your program and data.
pfb382
Posts: 22
Joined: Fri Apr 14, 2017 5:25 pm

Re: importance of exogenous regressor in VAR

Unread post by pfb382 »

I enclosed the code for two countries, they both run with the same data set. While for Burundi, the W significance is indeed little, I also posted the code for Rwanda. There it is much significant, but RwIn is still tied to 0 (an that is the case for any country model I run). In my eyes that makes no sense.. Thanks
Attachments
BurNEW.RPF
Code2
(3.2 KiB) Downloaded 993 times
FINAL1.xls
data
(38.5 KiB) Downloaded 757 times
RwandaNEW.RPF
Code1
(3.2 KiB) Downloaded 1010 times
TomDoan
Posts: 7822
Joined: Wed Nov 01, 2006 4:36 pm

Re: importance of exogenous regressor in VAR

Unread post by TomDoan »

You need to substitute out the ECT's while doing the IMPULSE instruction:

impulse(print,model=%modelsubstect(vecmodel)+worldeq,shocks=%unitv(%nvar+1,%nvar+1),$
result=impulses,steps=nstep)

(adding the %MODELSUBSTECT() around the VECMODEL.) Note also that the INCLUDE on @MCGRAPHIRF is based upon position, not name. In your case, it ends up not mattering since the model uses the 4 endogenous variables in their original order, but you should change that to ||2,4|| or whatever is correct.
pfb382
Posts: 22
Joined: Fri Apr 14, 2017 5:25 pm

Re: importance of exogenous regressor in VAR

Unread post by pfb382 »

TOM! Thanks so much! Perfect! Now it all makes more sense!
Post Reply