Koutmos JBFA 1996 Multivariate EGARCH
Re: Koutmos JBFA 1996 Multivariate EGARCH
I can not understand this:
What you attached is not your data file. It's just four columns of time trends.
Can you open it please? why dene.xls is not data file.
We define the data to the RATS with "open data dene.xls" code, if this is not seen as a data, so how can I define or where I should the define the variables in dene.xls, Because they are my variables...
Thanks.
What you attached is not your data file. It's just four columns of time trends.
Can you open it please? why dene.xls is not data file.
We define the data to the RATS with "open data dene.xls" code, if this is not seen as a data, so how can I define or where I should the define the variables in dene.xls, Because they are my variables...
Thanks.
Re: Koutmos JBFA 1996 Multivariate EGARCH
You attached a dene.xlsx file which is definitely not a data file. At any rate, your problem isn't that you attached the wrong file, but that you didn't allow for the entry lost to lags.
Re: Koutmos JBFA 1996 Multivariate EGARCH
It is now okey. Thanks again. I have even not found anything about Multivariate EGARCH- in mean model,
If I want to add the 1.st variable uncertainty in the mean model called h1(hfra), in which part should I put it?
This part as
* Table 2 - AR(1) EGARCH without spillover. This can be done with the
* GARCH instruction.
*
set hfra=1
dec vect[equation] ar1eq(n)
do i=1,n
equation ar1eq(i) y(i)
# constant y(i){1} hfra
end do i
group ar1model ar1eq(1) ar1eq(2) ar1eq(3) ar1eq(4)
garch(model=ar1model,mv=cc,variance=exp,asymmetric, hmatrices=hh,hadjust=%(hfra=sqrt(hh(t)(1,1))) gstart gend
or the other part
set hfra=1
system(model=var1)
variables y
lags 1
det constant hfra
end(system)
*
garch(model=var1,mv=cc,iters=500,variance=koutmos,$
pmethod=simplex,piters=10,trace, hmatrices=hh,hadjust=%(hfra=sqrt(hh(t)(1,1))) gstart gend
Thanks,
If I want to add the 1.st variable uncertainty in the mean model called h1(hfra), in which part should I put it?
This part as
* Table 2 - AR(1) EGARCH without spillover. This can be done with the
* GARCH instruction.
*
set hfra=1
dec vect[equation] ar1eq(n)
do i=1,n
equation ar1eq(i) y(i)
# constant y(i){1} hfra
end do i
group ar1model ar1eq(1) ar1eq(2) ar1eq(3) ar1eq(4)
garch(model=ar1model,mv=cc,variance=exp,asymmetric, hmatrices=hh,hadjust=%(hfra=sqrt(hh(t)(1,1))) gstart gend
or the other part
set hfra=1
system(model=var1)
variables y
lags 1
det constant hfra
end(system)
*
garch(model=var1,mv=cc,iters=500,variance=koutmos,$
pmethod=simplex,piters=10,trace, hmatrices=hh,hadjust=%(hfra=sqrt(hh(t)(1,1))) gstart gend
Thanks,
Re: Koutmos JBFA 1996 Multivariate EGARCH
That's how you would add the standard deviation, but those are two different mean models, with different ways of handling the lagged dependent variables.
Re: Koutmos JBFA 1996 Multivariate EGARCH
]Dear Tom,
I want to estimate the attached equation as a VAR form with 1 lag... So I think I should put dk and hgre in the second part not the first part, am I right?
*
* Table 2 - AR(1) EGARCH without spillover. This can be done with the
* GARCH instruction.
*
dec vect[equation] ar1eq(n)
do i=1,n
equation ar1eq(i) y(i)
# constant y(i){1}
end do i
group ar1model ar1eq(1) ar1eq(2) ar1eq(3) ar1eq(4)
garch(model=ar1model,mv=cc,variance=exp,asymmetric) gstart gend
*
set dk = t>=2003:1
set hgre=1
set x = 1
system(model=var1)
variables y
lags 1
det constant hgre dk x
end(system)
*
garch(model=var1,mv=cc,iters=500,variance=koutmos,$
pmethod=simplex,piters=10,trace, hmatrices=hh,hadjust=%(hgre=sqrt(hh(t)(2,2)), x=dk*hgre))) gstart gend
*
Also whats the mean of the sent2.docx...why did the coefficient seem undefined?
I want to estimate the attached equation as a VAR form with 1 lag... So I think I should put dk and hgre in the second part not the first part, am I right?
*
* Table 2 - AR(1) EGARCH without spillover. This can be done with the
* GARCH instruction.
*
dec vect[equation] ar1eq(n)
do i=1,n
equation ar1eq(i) y(i)
# constant y(i){1}
end do i
group ar1model ar1eq(1) ar1eq(2) ar1eq(3) ar1eq(4)
garch(model=ar1model,mv=cc,variance=exp,asymmetric) gstart gend
*
set dk = t>=2003:1
set hgre=1
set x = 1
system(model=var1)
variables y
lags 1
det constant hgre dk x
end(system)
*
garch(model=var1,mv=cc,iters=500,variance=koutmos,$
pmethod=simplex,piters=10,trace, hmatrices=hh,hadjust=%(hgre=sqrt(hh(t)(2,2)), x=dk*hgre))) gstart gend
*
Also whats the mean of the sent2.docx...why did the coefficient seem undefined?
- Attachments
-
- sent2.docx
- (53.57 KiB) Downloaded 818 times
-
- estimated equation.docx
- (43.04 KiB) Downloaded 735 times
Re: Koutmos JBFA 1996 Multivariate EGARCH
That model is the second form.
I have no idea what happened with the other, but I'm guessing that you have something very, very wrong with your data.
I have no idea what happened with the other, but I'm guessing that you have something very, very wrong with your data.
Re: Koutmos JBFA 1996 Multivariate EGARCH
Dear Tom,
What is the C,B,A,D and R for example C(1), A(1,2), B(1), D(1) and R(2,1).
I am a bit confuse about which one is in the attached doc.
the effect of j. market shock on i. (?)
the effect of the j.market lag return on i. (?)
the asymmetry degree of i.market (?)
volatility persistence(?)
I will be so pleased if you help me, everything turns mess
Also is there some rules as DCC or BEKK, that the sum should be maximum near 1 or the parameters(*) should be near 1, etc...
Thanks so much,
What is the C,B,A,D and R for example C(1), A(1,2), B(1), D(1) and R(2,1).
I am a bit confuse about which one is in the attached doc.
the effect of j. market shock on i. (?)
the effect of the j.market lag return on i. (?)
the asymmetry degree of i.market (?)
volatility persistence(?)
I will be so pleased if you help me, everything turns mess
Also is there some rules as DCC or BEKK, that the sum should be maximum near 1 or the parameters(*) should be near 1, etc...
Thanks so much,
- Attachments
-
- equation structure.docx
- (29.03 KiB) Downloaded 852 times
Re: Koutmos JBFA 1996 Multivariate EGARCH
The description of the Koutmos model (with the standard naming conventions used for GARCH components in RATS) is in the User's Guide, equation (24). Note that there should be no i,j on the delta in your equation (4)---that depends only upon j. If you have odd results, that's probably because you're using quarterly data, which generally has weakened GARCH properties.
BEKK "squares" everything, so sums of coefficients don't matter---stability depends upon eigenvalues of Kroneker products. The DCC coefficients generally sum to somewhere near one, but if the cross correlations are fairly weak, they can be almost anything.
BEKK "squares" everything, so sums of coefficients don't matter---stability depends upon eigenvalues of Kroneker products. The DCC coefficients generally sum to somewhere near one, but if the cross correlations are fairly weak, they can be almost anything.
Re: Koutmos JBFA 1996 Multivariate EGARCH
Hello TomDoan,TomDoan wrote:The following estimates a multivariate E-GARCH model with a VAR(1) mean model and spillovers in the GARCH specification. This is from G. Koutmos(1996) "Modeling the Dynamic Interdependence of Major European Stock Markets", Journal of Business Finance and Accounting, Vol. 23, pp. 975-988. The program should require relatively little change to be adapted to other data.
This program is covered in considerable detail as part of the ARCH, GARCH and Volatility e-course.
Version 9 of RATS adds the option VARIANCES=KOUTMOS to allow direct estimation using the GARCH instruction.
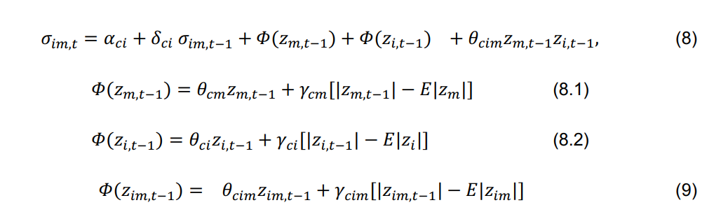
I have gone through Koutmos 1996 paper and run your RATs program file, but i have a specific question regarding mEGARCH. I have looked at the mEGARCH specification in Koutmos paper (1996), which he extented from Nelson's paper (1991). Furthermore, another author named Dean and Faff (2004) extented Nelson's uEGARCH to a multivariate case, however, their specification is different from Koutmos. For clarification, I attach the screenshot of the Dean's mEGARCH specification. please have a look. For me, both are different. Isn't it? Unfortunately I am attempting to estimate this attached mEGARCH process, but unsure whether this can be done with RATS functions or need to make new process. Have your comments! thanks.
- Attachments
-
- cov.png (54.22 KiB) Viewed 15811 times
Re: Koutmos JBFA 1996 Multivariate EGARCH
That's not really enough information to tell for certain (there's no definition of the z's, but I assume they're the standardized residuals). Assuming that's actually an EGARCH (i.e. the variance is the exp of sigma), it adds that final interaction term in the first line (the z x z term) to the Koutmos model. Another possible (likely?) difference is that Koutmos uses a single asymmetry term for each variable across all equations (note that common d(j) in the Koutmos formula), which it looks like this model allows for freely estimated coefficients (the coefficients are double subscripted which would seem to indicate that each is different for each equation).
If you want to do that, you'll have to base it off the pre-version 9 program.
If you want to do that, you'll have to base it off the pre-version 9 program.
Re: Koutmos JBFA 1996 Multivariate EGARCH
yes, z is standardized innovation. The subscript c in each coefficient indicates that coefficients belong to covariance specification. The subscript m and i refers to market and stocks/portfolios where i=1,2,...n, respectively. The estimation is bivariate, meaning that each time two series (i.e., one stock and the market) enter into the equation and thus, computation. I have some queries to ask for clarification,I don't know whether these are elementary.
Since the equation 8.1 and 8.2 is univariate egarch, both are easy to perform. The question is about interaction term in equation 8 and 9. It seems that z_m and z_i are in the form of multiplication. If I perform multiplication element by element (z_m*z_i), the resulting vector is one column vector in which uEGARCH is possible to perform (I don't know whether this computation is correct and therefore, asking to know?). Altogether, there are three system of equations from which I need to obtain conditional covariance (i.e., the regressand in equation 8 ). The big question is How I can obtain this covariance? Your suggestion can be helpful.
I am sorry to say that I am novice in RATS.Since there are a few softwares where megarch is possible to implement, I had to switch from other used softwares.
N.B. the computation of the interaction term, z_m*z_i might also be done by calculating covariance between z_m and z_i and thus, the same process as mentioned (I am unsure whether it's correct approach).
Since the equation 8.1 and 8.2 is univariate egarch, both are easy to perform. The question is about interaction term in equation 8 and 9. It seems that z_m and z_i are in the form of multiplication. If I perform multiplication element by element (z_m*z_i), the resulting vector is one column vector in which uEGARCH is possible to perform (I don't know whether this computation is correct and therefore, asking to know?). Altogether, there are three system of equations from which I need to obtain conditional covariance (i.e., the regressand in equation 8 ). The big question is How I can obtain this covariance? Your suggestion can be helpful.
I am sorry to say that I am novice in RATS.Since there are a few softwares where megarch is possible to implement, I had to switch from other used softwares.
N.B. the computation of the interaction term, z_m*z_i might also be done by calculating covariance between z_m and z_i and thus, the same process as mentioned (I am unsure whether it's correct approach).
Re: Koutmos JBFA 1996 Multivariate EGARCH
This is clearly a joint estimation since each variance depends (through the z's) on the lagged variance of the other series. Are they using CC to handle the covariance?
The interaction term isn't a major problem---since each of the z's is scale-free so is their product and both the z's have to be computed to handle the more standard EGARCH terms.
The interaction term isn't a major problem---since each of the z's is scale-free so is their product and both the z's have to be computed to handle the more standard EGARCH terms.
Re: Koutmos JBFA 1996 Multivariate EGARCH
yes, I think that they employ CC. The conditional covariance obtained from equation 8 are then used as conditional price of risk for stocks (that is, the CAPM beta). For details, please have a look at the Empirical Framework of attached file.
Looking forward to your reply.
Looking forward to your reply.
- Attachments
-
- Dean_et_al-2004-Journal_of_Financial_Research.pdf
- (148.81 KiB) Downloaded 885 times
Re: Koutmos JBFA 1996 Multivariate EGARCH
The description of what they actually did is very vague. It sounds like they first estimated univariate E-GARCH models, used those to generate the z's, then somehow went back and re-estimated the model using that. There is no earthly reason to not do a full ML estimation of that now, and I doubt there was a reason to do that 15 years ago. Koutmos' paper is eight years older and handles a similar model with 4 variables rather than 2 and does ML.
Re: Koutmos JBFA 1996 Multivariate EGARCH
hm. So, you prefer not to go with their egarch specification, do you?. yes, the explanation of covariance specification is vague in that equation terms are not explicitly expressed out. However, at the outset the covariance specification is appealing at me because of joint asymmetry (sign and size terms) in addition to the single asymmetry terms; they all are in a single specification. Besides, I have found this kind of specification in case of multivariate DCC (or ADCC) E-GARCH in R where joint asymmetry appears after each individual asymmetric terms. What do you think about DCC E-GARCH?
Asymmetric terms in Koutmos model are constrained, which is documented in Jane and Ding paper (2009). They show a general extension of Nelson's univariate egarch specification.
Asymmetric terms in Koutmos model are constrained, which is documented in Jane and Ding paper (2009). They show a general extension of Nelson's univariate egarch specification.