Granger Causality Test with Non-Stationary Data

Questions and discussions on Time Series Analysis
Post Reply
TomDoan
Posts: 7822
Joined: Wed Nov 01, 2006 4:36 pm

Granger Causality Test with Non-Stationary Data

Post by TomDoan »

It's been known for quite some time that a standard Granger causality test doesn't have an F (or chi-squared) asymptotic distribution in the presence of unit roots. This is an implication of Sims, Stock and Watson(1990), as you can't rearrange the Granger test to be a test only on differences of the data. If you rule out cointegration, you can run the test on differences, but only if you rule that out as a possibility. While there has been some work on dealing with this, Toda and Phillips(1993) is rather complicated and Toda and Yamamoto(1995) theoretically suspect. (The latter does a Granger test but not on the full set of lags).

There is, however, a simple solution in an apparently long-forgotten suggestion in Geweke, Meese and Dent(1982). In that paper, the authors examined the (at that point) well-known problem that the two main testing procedures for Granger causality (for x causing y):
  1. the basic Granger test, regressing y on lags of y and x and testing lags of x
  2. the Sims test, regressing x on past, present and future y and testing leads of y
could often give qualitatively different results. They proposed an alternative to the Sims test which adds lags of x, producing what would now be called an ARDL model. The GMD version (which is included in the RATS causal.rpf example) performed better than the Sims test because it gave serially uncorrelated residuals both under the null and alternative, while the Sims test tended to correct better the residuals in the unconstrained regression. However, it wasn't seen as having much independent value as it wasn't superior to the simpler Granger test, and it also changed the interpretation of the distributed lag coefficients.

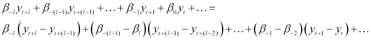
However, the GMD test does avoid the Sims-Stock-Watson problem. By the usual method, we can rewrite the lag polynomial in future, current and past y as:
causal.gif
causal.gif (9.97 KiB) Viewed 7237 times
The coefficients on the future coefficients in the differenced form are zero if and only if they are zero in the undifferenced form so the test on leads of y have standard asymptotics under SSW. Unlike the Granger test, this has the current and past lags of y to "absorb" the level term that get shifted down through the polynomial when you make the substitution.



Sims, C.A., J.H. Stock, and M.W. Watson (1990). “Inference in Linear Time Series Models with Some Unit Roots”, Econometrica, Vol. 58, No. 1, pp. 113-144.

Geweke, J., R. Meese and W. Dent (1982). “Comparing Alternative Tests of Causality in Temporal Systems.” Journal of Econometrics, Vol. 21, pp. 161-194.

Toda, H. Y. and P. C. B. Phillips (1993). Vector Autoregressions and Causality, Econometrica, Vol. 61 No.6, 1367-1393.

Toda, H. Y. and T. Yamamoto (1995). Statistical Inference in Vector Autoregressions with Possibly Integrated Processes, Journal of Econometrics, Vol. 66, 225-250.
Post Reply