VAR GARCH-M Model
-
HieuNguyen051093
- Posts: 4
- Joined: Mon Mar 09, 2015 10:46 am
VAR GARCH-M Model
Hi Tom
I'm using A Multivariate GARCH-M VAR model, but now I don't know how to write code for it. May you help me, please!
I'm looking foward to hearing from you
I'm using A Multivariate GARCH-M VAR model, but now I don't know how to write code for it. May you help me, please!
I'm looking foward to hearing from you
Re: VAR GARCH-M Model
There are several different ways to add "M" terms to a GARCH model (depending upon whether you want just the variances, just the standard deviations, covariances as well). There are several examples of multivariate "M" setups in the GARCHMV.RPF example file. None is specifically a "VAR" GARCH, but adding the lagged dependent variables is fairly easy once you figure out how you want the M effects to work.
-
HieuNguyen051093
- Posts: 4
- Joined: Mon Mar 09, 2015 10:46 am
Re: VAR GARCH-M Model
Dear Tom
Thank you for some examples you gave me, but I can't distinguish it. So, may you help me write a code in the following instance: My paper presents a model that combines a reduced form vector autoregression for export growth (lnex), foreign income growth (lnfi), and RER (real exchange rate) growth (lnreer), with a multivariate GARCH-M model following the dynamic conditional correlation (DCC) specification of Engle (2002).
I hope hearing from you soon!
Thank you for some examples you gave me, but I can't distinguish it. So, may you help me write a code in the following instance: My paper presents a model that combines a reduced form vector autoregression for export growth (lnex), foreign income growth (lnfi), and RER (real exchange rate) growth (lnreer), with a multivariate GARCH-M model following the dynamic conditional correlation (DCC) specification of Engle (2002).
I hope hearing from you soon!
Re: VAR GARCH-M Model
Again, the "VAR" part is easy. There are many ways to do the "M" effect in a multivariate model. How are you proposing to handle that?
-
HieuNguyen051093
- Posts: 4
- Joined: Mon Mar 09, 2015 10:46 am
Re: VAR GARCH-M Model
It's not what I mean. I think I don't understand you and you too, may be! Thanks for your response
Re: VAR GARCH-M Model
Write down and attach a formula (as a JPG or GIF) so I can see what model you're trying to estimate.
-
HieuNguyen051093
- Posts: 4
- Joined: Mon Mar 09, 2015 10:46 am
Re: VAR GARCH-M Model
Here's the model that I try to estimate, please can you help me.
- Attachments
-
- WP_20150314_012.jpg (1.35 MiB) Viewed 17055 times
Re: VAR GARCH-M Model
Are you sure about that DELTA matrix (the coefficient matrix on the "M" term)? Shouldn't that be diagonal?
Re: VAR GARCH-M Model
Dear Tom
I got a question about the bivariate VAR GARCH -M model ,how can I extract the coefficient parameters( like Λ(L) in Elder(2010)) from the VAR ,
I use the code as follows :
I got a question about the bivariate VAR GARCH -M model ,how can I extract the coefficient parameters( like Λ(L) in Elder(2010)) from the VAR ,
I use the code as follows :
Code: Select all
SYSTEM(MODEL=VAR1)
VARIABLES VIX EF
LAGS 1 TO 4
DET Constant
END(SYSTEM)
ESTIMATE
garch(model=var1,mv=bekk,hmatrices=h, MVHSERIES=bekkHmatrix, rvectors=r,pmethod=simplex,piters=5,method=bfgs,iters=400) / VIX EFRe: VAR GARCH-M Model
That model has no "M" terms. As in the above question, what "M" effects are you trying to include?
At any rate, the coefficients of the mean model go into the MODEL that you define (here VAR1). So you can use %MODELGETCOEFFS(VAR1) to get the matrix of coefficients and hack the information out of it. You can also just look at the GARCH output and pick the coefficient numbers that are of interest out of %BETA (and %STDERRS).
At any rate, the coefficients of the mean model go into the MODEL that you define (here VAR1). So you can use %MODELGETCOEFFS(VAR1) to get the matrix of coefficients and hack the information out of it. You can also just look at the GARCH output and pick the coefficient numbers that are of interest out of %BETA (and %STDERRS).
Re: VAR GARCH-M Model
Sorry ,I think I didn`t convey it clearly,actually I want to ask about how can I get the vector phi in the model as attached
- Attachments
-
- modelequation.png (7.47 KiB) Viewed 16749 times
Re: VAR GARCH-M Model
This adjusts your mean model to include the two variances. The PHI matrix can be pulled out of the coefficient matrix from VAR1. (The 10,11 depends upon the number of lags---you have eight lag coefficients + constant in each equation before the two H terms).
Code: Select all
dec symm[series] bekkhmatrix(2,2)
*
SYSTEM(MODEL=VAR1)
VARIABLES VIX EF
LAGS 1 TO 4
DET Constant bekkhmatrix(1,1) bekkhmatrix(2,2)
END(SYSTEM)
garch(model=var1,mv=bekk,hmatrices=h, MVHSERIES=bekkHmatrix, rvectors=r,pmethod=simplex,piters=5,method=bfgs,iters=400) / VIX EF
*
compute meancoeffs=%modelgetcoeffs(var1)
compute phi=%xsubmat(meancoeffs,10,11,1,2)
Re: VAR GARCH-M Model
Thanks for your help ,I can get the PHI right now!
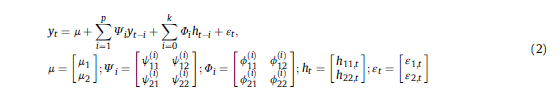
May I ask another question about the results in paper[Exchange rate uncertainty and international portfolio flows_ A multivariate GARCH-in-mean approach(2015)*],the Phi got lags,what should I do to generate it?
May I ask another question about the results in paper[Exchange rate uncertainty and international portfolio flows_ A multivariate GARCH-in-mean approach(2015)*],the Phi got lags,what should I do to generate it?
- Attachments
-
- meaneq.png (74.29 KiB) Viewed 16727 times
Re: VAR GARCH-M Model
BEKKHMatrix(1,1) and BEKKMATRIX(2,2) are series, so you can use lag notation {lag} with them. I assume they started with a full VAR with quite a few lags and cut it down to what they're showing. Note that they have different mean equations between the two equations, so that will be more similar to the example in GARCHMV.RPF with separate equations.
Re: VAR GARCH-M Model
Thank you very much !I can generate the results now .