EKF for benchmarking of Growth rates preservation (GRP)

Discussion of State Space and Dynamic Stochastic General Equilibrium Models
hardmann
Posts: 257
Joined: Sat Feb 26, 2011 9:49 pm

EKF for benchmarking of Growth rates preservation (GRP)

Unread post by hardmann »

Dear Tom:

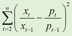
Benchmarking and temporal disaggregation is a very important issue not only in theory but also in statistics practices. Interpolation and Distribution, ch7. of RATS Handbook for State-Space Models, 2ed give me strong impression. I had read the origin codes of @disaggregate procedure, and rederive them. It is smart and simple method to estimate the proportional Denton problem by using the Kalman smoother technique. With further research, I acknowledge the ultimate the problem, eg. Growth Rate Preservation (GRP) as follows:
Image

Under the inspiration of Kalman smoother solution of Denton, I wonder whether the Extend Kalman smoother could the solve the non-linear GRP problem alike Kalman smoother does linear Denton. My code works, however, its function value is insignificantly better than that of Denton, 0.2227 vs. 0.2399 respectively, but inferior to GRP, 0.080. So, I ask help, could improve EKF?

my code and xls as follows:


Hardmann
Attachments
Di_Fonzo_Marini_2010.xlsx
(12.04 KiB) Downloaded 725 times
GRP EKF Di Fonzo Marini 2010.RPF
(4.71 KiB) Downloaded 783 times
GRP.png
GRP.png (3.95 KiB) Viewed 39030 times
hardmann
Posts: 257
Joined: Sat Feb 26, 2011 9:49 pm

Re: EKF for benchmarking of Growth rates preservation (GRP)

Unread post by hardmann »

Dear Tom:

I want to write a paper about benchmarking using the extented kalman filter. I want to konw how to cite the method discribing in Rats handbook. To the best of my knowledge, nobody really use the state space method to tackle the benchmarking problem in formal joural. Durbin and Quenneville (1997), Proietti(2006) used the BSM or dynamic regression method, which was based on the state space methodology.

Hardmann
TomDoan
Posts: 7822
Joined: Wed Nov 01, 2006 4:36 pm

Re: EKF for benchmarking of Growth rates preservation (GRP)

Unread post by TomDoan »

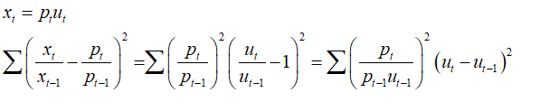
If you rearrange the objective function:
ekf model.png
ekf model.png (6.02 KiB) Viewed 38959 times
one way to do an EKF is to take the previous u_{t-1} in the multiplier term, which would make the multiplier known on a particular iteration.
hardmann
Posts: 257
Joined: Sat Feb 26, 2011 9:49 pm

Re: EKF for benchmarking of Growth rates preservation (GRP)

Unread post by hardmann »

Dear Tom:

Thank you for response, however, I can not solve the problem.
I am still confused that "Kalman smoothing gives us the conditional means
of the states and the disturbances subject to the observations." p147, state_space handbook 2ed.
I do not know to specify state equation about it. If I take the previous u_{t-1} in the multiplier term, should the state varible redefine u_{t}-u_{t-1} or remain u_(t)

Could you give me further suggestion?

Best regard
TomDoan
Posts: 7822
Joined: Wed Nov 01, 2006 4:36 pm

Re: EKF for benchmarking of Growth rates preservation (GRP)

Unread post by TomDoan »

You're going to need to augment the state vector anyway in order to do a multiperiod measurement equation, so you can use u{t}, u{t-1},...,.u{t-q}. You have to decide what type of time series model you want for those. RW is the simplest.

Doesn't that just turn into the proportional Denton model with a time-varying factor multiplying the (u{t}-u{t-1})^2?
Post Reply