2-pass regression with time series data

Questions and discussions on Time Series Analysis
fan
Posts: 215
Joined: Wed Jun 19, 2013 5:14 pm

2-pass regression with time series data

Unread post by fan »

Hi Tom,

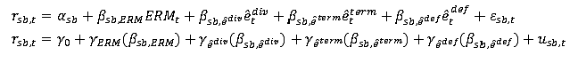
I am trying to apply 2-pass regression with time series data I have. I would like to how to use the coefficient estimates from my first equation as my regressors in my second equation. Many Thanks
Attachments
model.png
model.png (4.37 KiB) Viewed 8901 times
TomDoan
Posts: 7822
Joined: Wed Nov 01, 2006 4:36 pm

Re: 2-pass regression with time series data

Unread post by TomDoan »

Isn't that the same basic idea as Fama and Macbeth? Just save the coefficients into series and use them as data in the second regression.
fan
Posts: 215
Joined: Wed Jun 19, 2013 5:14 pm

Re: 2-pass regression with time series data

Unread post by fan »

TomDoan wrote:Isn't that the same basic idea as Fama and Macbeth? Just save the coefficients into series and use them as data in the second regression.
Thank you, Tom. I tried as you suggested here. but my code did not work. Could you please kindly take a look my code?

Code: Select all

linreg y
# constant x
compute beta1=%beta(1), beta2=%beta(2)

linreg y
# beta1 beta2
TomDoan
Posts: 7822
Joined: Wed Nov 01, 2006 4:36 pm

Re: 2-pass regression with time series data

Unread post by TomDoan »

Don't you need to run separate regressions over t for each SB (whatever the latter index set is) and collect the coefficients from those?
fan
Posts: 215
Joined: Wed Jun 19, 2013 5:14 pm

Re: 2-pass regression with time series data

Unread post by fan »

TomDoan wrote:Don't you need to run separate regressions over t for each SB (whatever the latter index set is) and collect the coefficients from those?
Thank you for your quick reply. I thought I could have the coefficients for each SB from my first regression.Is it not right?

Code: Select all

linreg sb1
    # constant x
    compute beta1=%beta(1), beta2=%beta(2)

    linreg sb1
    # beta1 beta2
TomDoan
Posts: 7822
Joined: Wed Nov 01, 2006 4:36 pm

Re: 2-pass regression with time series data

Unread post by TomDoan »

No. One LINREG does one regression. You need a whole collection of regressions at the first stage.
Post Reply